mos管公式詳解

mos管公式-MOS管驅動電流的估算
mos管公式驅動電流的估算第一種:
可以使用如下公式估算:
Ig=Qg/Ton
其中:
Ton=t3-t0≈td(on)+tr
td(on):MOS導通延遲時間,從有駛入電壓上升到10%開始到VDS下降到其幅值90%的時間。
Tr:上升時間。輸出電壓VDS從90%下降到其幅值10%的時間
Qg=(CEI)(VGS)或Qg=Qgs+Qgd+Qod (可在datasheet中找到)
mos管公式驅動電流的估算第二種:
密勒效應時間(開關時間)Ton/off=Qgd/Ig;
Ig=[Vb-Vgs(th)]/Rg;
Ig:MOS柵極驅動電流;Vb:穩態柵極驅動電壓;
mos管公式驅動電流的估算第三種:
以IR的IRF640為例,看DATASHEET里有條Total Gate Charge曲線。該曲線先上升然后幾乎水平再上升。水平那段是管子開通(密勒效應)假定你希望在0.2us內使管子開通,估計總時間(先上升然后水平再上升)為0.4us,由Qg=67nC和0.4us可得:
67nC/0.4us=0.1675A,當然,這是峰值,僅在管子開通和關短的各0.2us里有電流,其他時間幾乎沒有電流,平均值很小,但如果驅動芯片不能輸出這個峰值,管子的開通就會變慢。

mos管公式飽和區電流公式及其詳解
mos管公式飽和區電流公式,在強反型狀態下飽和區中的工作。小信號參數的值因MOS晶體管的工作區域而變化。假定MOS晶體管處于VGS比閾值電壓VT高得多的強反型狀態,而且工作在飽和區,求這種狀況下的小信號參數。
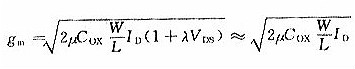
可將跨導gm表示如下:

在能夠疏忽溝道長度調制效應的狀況下,得到

這個跨導gm能夠用漏極電流ID表示為

也能夠用漏極電流ID和柵極-源極間電壓VGS表示為

體跨導gmb能夠由下式求得:

由式(1.18)和式(1.20),能夠分別導出

所以得到



烜芯微專業制造二極管,三極管,MOS管,橋堆等20年,工廠直銷省20%,1500家電路電器生產企業選用,專業的工程師幫您穩定好每一批產品,如果您有遇到什么需要幫助解決的,可以點擊右邊的工程師,或者點擊銷售經理給您精準的報價以及產品介紹

